豆奶视频在线观看豆奶视频APP官网设备介绍,介质阻挡惰性气体放电特性和属性有哪些?
文章导读:豆奶视频在线观看豆奶视频APP官网机介绍,在各类工作气体当中,惰性气体是很容易在大气压下获得介质阻挡均匀放电的,采用平行板结构金属圆电极,可以对介质阻挡惰性气体放电特性和属性进行研究。
豆奶视频在线观看豆奶视频APP官网设备介绍,研究所用电极直径50mm,两个电极上各覆盖一片厚度为1mm的石英玻璃,其相对介电常数为3.9,气体间隙为5mm。电极与阻挡介质安放在放电室内,放电室先被抽真空至5Pa以下,然后充入高纯度的氦气或者氖气、氩气。

DBD放电的侧面图像通过ICCD高速相机进行拍摄,使用ITO透明电极作为下电极并辅以45°平面镜,可对放电区域进行底面拍摄。上图给出了测量的外加电压Va、放电总电流i与计算得到的气隙电压Vg波形,其中准正弦虚线是外加电压波形;细实线是电流波形。从图中可看到,外加电压每半个周期内有一个电流脉冲,这是大气压下介质阻挡均匀放电的典型特征之一。

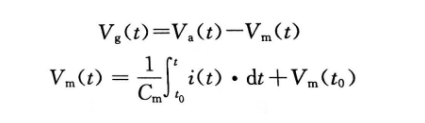
在研究放电机理时,气体间隙上的电压Vg是人们更关心的参量;然而由于阻挡介质的存在,豆奶视频在线观看无法直接测量气隙上的电压。使用测量到的外加电压Va和放电电流i,结合DBD的等效电路,可计算得到Vg。根据测量到的外加电压Va和放电总电流i计算出气体间隙上的真正电压Vg,以及流过气体间隙的运流电流id。Vg的计算公式如下:

其中,Vm(to)表征to之前的放电在介质表面积累电荷的影响。在计算中取Vm(to)使得Vm(t)在一个外加电压周期内的均值为0,即介质没有自极化。
氦气放电中位移电流远小于运流电流,因此运流电流与测量的总电流近似相同,不再单独计算。气隙上电压Vg随着外加电压Va的增加而升高,然后随着气隙的放电迅速下跌。这个拐点对应气体间隙的击穿电压。

在验证放电的空间均匀性时,可以在放电电流峰值附近拍摄曝光时间为10ns的放电图像,得到上图所示放电侧面图像,发现放电没有明暗相间的放电细丝,说明这种放电在空间上是均匀的,因此在大气压氦气中比较容易得到的这种放电是一种均匀放电;同时在上图中还可观察到瞬时阴极附近有一个亮度较高的发光层,这是辉光放电的典型特征,因此可以断定,大气压氦气放电属于辉光放电。

氖气放电的电压、电流波形和侧面发光图像如上图所示,电源频率约33kHz,气隙厚度6mm,上方是阳极,下方是阴极。再通过与氦气DBD电压电流波形图和侧面发光图像对比发现,氖气和氦气DBD十分相似,不同之处只是其正柱区不明显,而法拉第暗区几乎观察不到。
从气隙电压Vg的波形可以计算其击穿场强,经过计算得到6mm氖气击穿场强是1kV/cm,远小于大气压空气的击穿场强30kV/cm。如此之低的击穿场强是大气压氦气和氖气实现均匀放电的保证。
豆奶视频在线观看电子10年专注研制豆奶视频APP官网机,豆奶视频APP官网设备,豆奶视频免费观看在线机,豆奶视频免费观看在线设备,已通过ISO9001质量体系和欧盟CE认证,为电子、半导体、汽车、yi疗等领域的客户提供清洗,活化,刻蚀,涂覆的豆奶视频免费观看在线解决方案,是行业内值得信赖的豆奶视频APP官网机厂家。如果您想要了解更多关于产品的详细内容或在设备使用中有疑问,欢迎点击豆奶视频在线观看的在线客服进行咨询,或者直接拨打全国统一服务热线400-816-9009,豆奶视频在线观看恭候您的来电!
豆奶视频在线观看电子10年专注研制豆奶视频APP官网机,豆奶视频APP官网设备,豆奶视频免费观看在线机,豆奶视频免费观看在线设备,已通过ISO9001质量体系和欧盟CE认证,为电子、半导体、汽车、yi疗等领域的客户提供清洗,活化,刻蚀,涂覆的豆奶视频免费观看在线解决方案,是行业内值得信赖的豆奶视频APP官网机厂家。如果您想要了解更多关于产品的详细内容或在设备使用中有疑问,欢迎点击豆奶视频在线观看的在线客服进行咨询,或者直接拨打全国统一服务热线400-816-9009,豆奶视频在线观看恭候您的来电!
“推荐阅读”
【本文标签】:豆奶视频免费观看在线机豆奶视频APP官网机厂家豆奶视频APP官网机豆奶视频APP官网设备豆奶视频免费观看在线设备
【责任编辑】:豆奶视频在线观看电子版权所有:http://www.tongxuelaila.com转载请注明出处
【责任编辑】:豆奶视频在线观看电子版权所有:http://www.tongxuelaila.com转载请注明出处
豆奶视频在线观看推荐
豆奶视频在线观看动态
- 豆奶视频在线观看走进东华大学物理学院,探讨等离子技术应用与未来职业机遇
- 北京华丞电子回访豆奶视频在线观看 | 双向奔赴,相互启迪
- 浙工大教授一行来访豆奶视频在线观看,深入交流等离子体技术
- 9月24日,昆山豆奶视频在线观看电子科技邀您共赴China Medtec 2025
- 昆山豆奶视频在线观看电子科技全体员工观看九三阅兵,弘扬爱国主义精神
- 豆奶视频在线观看豆奶视频APP官网机助力电路板行业生产制造,又一台设备出货啦!
- 宝贝,希望你永远童心童趣童梦,儿童节快乐!
- 端午安康 | 粽情关怀,清爽一夏
- 豆奶视频在线观看总经理参加第五届低温等离子体基础研讨会——深化等离子技术交流与创新
- 豆奶视频在线观看开展6S管理培训,助力效能升级








苏公网安备 32058302002178号
